Chỉ báo kỹ thuật Standard Deviation là một công cụ phân tích quan trọng trong lĩnh vực tài chính, giúp nhà đầu tư đánh giá mức độ biến động giá của một tài sản trong một khoảng thời gian xác định. Với khả năng đo lường sự phân tán của giá đóng cửa, chỉ báo này không chỉ hỗ trợ xác định rủi ro mà còn là nền tảng để xây dựng các chiến lược giao dịch hiệu quả. Bài viết này TintucFX sẽ cung cấp cái nhìn toàn diện về định nghĩa, công thức, cách áp dụng và vai trò trong phân tích thị trường.
Định nghĩa chỉ báo kỹ thuật Standard Deviation

Chỉ báo kỹ thuật Standard Deviation hay còn gọi là độ lệch chuẩn cuộn chảy. Đây là một phương pháp đo lường sự biến động của giá đóng cửa của một tài sản trong một khung thời gian nhất định, thường được gọi là khoảng thời gian cuộn chảy. Chỉ báo này phản ánh mức độ phân tán của giá trị so với giá trị trung bình, từ đó cung cấp thông tin về mức độ biến động của tài sản. Khi giá trị của Standard Deviation cao, điều này cho thấy tài sản đang trải qua những biến động lớn, trong khi giá trị thấp báo hiệu sự ổn định hoặc biến động nhỏ.
Xem thêm: Quy tắc 3P trong Trading: Bí quyết dẫn đến thành công
Công thức tính chỉ báo kỹ thuật Standard Deviation

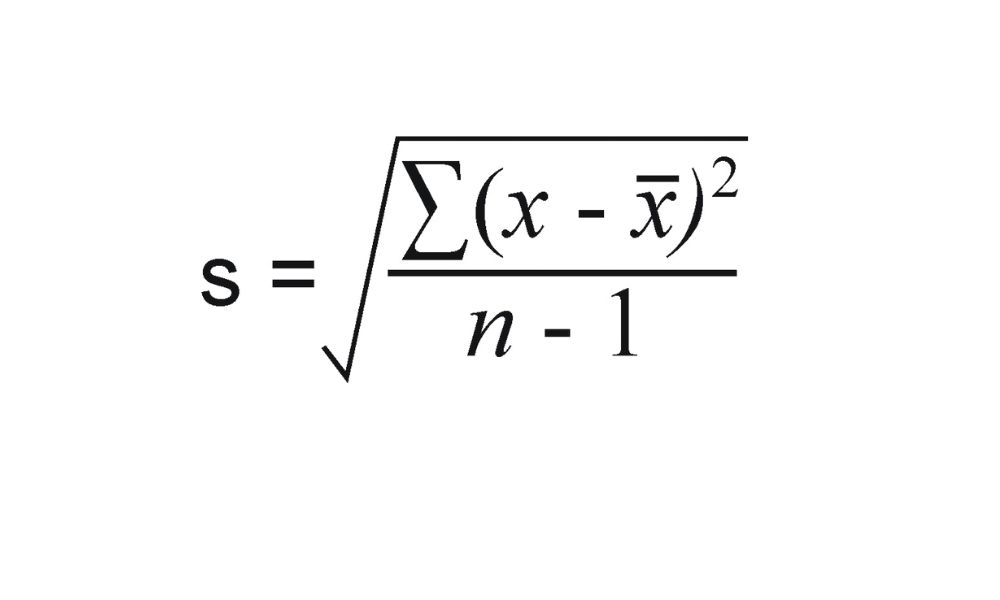
Để tính toán chỉ báo kỹ thuật Standard Deviation, nhà phân tích cần thực hiện các bước sau:
- Xác định khoảng thời gian cuộn chảy: Thông thường, khoảng thời gian này được thiết lập mặc định là 30 kỳ, nhưng có thể điều chỉnh tùy theo mục tiêu phân tích.
- Tính giá trị trung bình: Tổng hợp tất cả giá đóng cửa trong khoảng thời gian đã chọn và chia cho số lượng quan sát để tìm giá trị trung bình.
- Tính phương sai: Đối với mỗi giá đóng cửa, lấy giá trị đó trừ đi giá trị trung bình, bình phương kết quả, sau đó chia tổng các giá trị bình phương cho số quan sát trừ một.
- Tính độ lệch chuẩn: Lấy căn bậc hai của phương sai để thu được giá trị chỉ báo kỹ thuật Standard Deviation, thể hiện mức độ biến động của giá.
Công thức toán học được biểu diễn như sau:
σ = √[ (1/N) × Σ(xᵢ − μ)² ]
Trong đó:
- s là Standard Deviation.
- xi là giá trị của điểm i trong tập dữ liệu
- x̄ là giá trị của tập dữ liệu
- n là tổng số quan sát trong tập dữ liệu
Ứng dụng của chỉ báo kỹ thuật Standard Deviation

Đo lường biến động giá
Chỉ báo kỹ thuật Standard Deviation là công cụ lý tưởng để đánh giá mức độ dao động của giá đóng cửa trong một khoảng thời gian cụ thể. Giá trị cao của chỉ báo cho thấy tài sản có sự biến động mạnh, trong khi giá trị thấp thể hiện sự ổn định. Điều này giúp nhà đầu tư hiểu rõ hơn về hành vi giá và chuẩn bị cho các kịch bản thị trường khác nhau.
Đánh giá rủi ro và volatility
Trong quản lý tài chính, chỉ báo kỹ thuật Standard Deviation đóng vai trò quan trọng trong việc xác định rủi ro và mức độ biến động của tài sản. Khi chỉ báo tăng, điều này báo hiệu rủi ro gia tăng do giá có thể dao động mạnh hơn. Ngược lại, chỉ báo giảm cho thấy thị trường đang trong trạng thái ít biến động, phù hợp với các chiến lược giao dịch an toàn hơn.
Hỗ trợ chiến lược giao dịch
Chỉ báo kỹ thuật Standard Deviation có thể được sử dụng độc lập hoặc kết hợp với các công cụ phân tích khác để xây dựng chiến lược giao dịch. Ví dụ, nhà giao dịch có thể sử dụng chỉ báo này để thiết lập các mức dừng lỗ hoặc chốt lời dựa trên mức độ biến động dự kiến. Ngoài ra, chỉ báo còn giúp xác định các giai đoạn thị trường có xu hướng mạnh hoặc tích lũy, từ đó tối ưu hóa thời điểm vào lệnh hoặc thoát lệnh.
Xem thêm: Mô hình vùng tích lũy kép: Bí quyết giao dịch hiệu quả
Phân tích biến động ngắn hạn và dài hạn
Một ưu điểm nổi bật của chỉ báo kỹ thuật Standard Deviation là khả năng áp dụng cho cả phân tích ngắn hạn và dài hạn. Bằng cách điều chỉnh khoảng thời gian cuộn chảy, nhà đầu tư có thể tùy chỉnh chỉ báo để phù hợp với mục tiêu giao dịch, từ giao dịch trong ngày đến đầu tư dài hạn.
Lưu ý khi sử dụng chỉ báo kỹ thuật Standard Deviation

Mặc dù chỉ báo kỹ thuật Standard Deviation là một công cụ mạnh mẽ, nhà đầu tư cần lưu ý một số điểm để sử dụng hiệu quả:
- Tính chất thay đổi theo thời gian: Giá trị của chỉ báo có thể thay đổi liên tục, do đó cần theo dõi thường xuyên để nắm bắt xu hướng biến động.
- Kết hợp với các chỉ báo khác: Để tăng độ chính xác, nên sử dụng chỉ báo kỹ thuật Standard Deviation cùng với các công cụ như Bollinger Bands, RSI hoặc MACD.
- Phụ thuộc vào dữ liệu lịch sử: Chỉ báo này dựa trên dữ liệu giá quá khứ, vì vậy không thể dự đoán chính xác các sự kiện bất ngờ trên thị trường.
Xem thêm các kiến thức Forex tại đây!
Lời kết
Chỉ báo kỹ thuật Standard Deviation là một công cụ không thể thiếu trong bộ công cụ của các nhà đầu tư và nhà phân tích tài chính. Với khả năng đo lường biến động, đánh giá rủi ro và hỗ trợ xây dựng chiến lược giao dịch, chỉ báo này mang lại giá trị lớn trong việc đưa ra các quyết định dựa trên dữ liệu. Bằng cách hiểu rõ cách tính toán và áp dụng, bạn có thể tối ưu hóa hiệu suất giao dịch và quản lý rủi ro một cách hiệu quả hơn.

