Thị trường Forex luôn biến động khôn lường, khiến việc dự đoán trở nên đầy thách thức. Giữa “ma trận” giá cả lên xuống, liệu có tồn tại quy luật nào giúp các trader “bắt mạch” thị trường, tìm kiếm cơ hội sinh lời? Câu trả lời nằm ở dãy số Fibonacci. Vậy Fibonacci là gì? Sử dụng Fibonacci trong giao dịch Forex như thế nào? Cùng Tin tức FX tìm hiểu nhé.
Fibonacci là gì?
Fibonacci là một dãy số vô hạn trong toán học, được bắt đầu bằng hai phần tử 0 và 1, hoặc 1 và 1. Các phần tử tiếp theo được thiết lập theo quy tắc mỗi phần tử luôn bằng tổng hai phần tử liền trước nó.
Ví dụ, dãy Fibonacci bắt đầu bằng 0 và 1 sẽ là: 0, 1, 1, 2, 3, 5, 8, 13, 21, 34, 55, 89, 144, 233, 377,…

Trong Forex, Fibonacci không chỉ là một dãy số đơn thuần mà là một công cụ phân tích kỹ thuật mạnh mẽ, được sử dụng để dự đoán các mức hỗ trợ, kháng cự, cũng như các điểm vào lệnh tiềm năng.
Nguồn gốc của Fibonacci
Dãy số Fibonacci được giới thiệu bởi nhà toán học người Ý Leonardo Pisano Bigollo (còn được gọi là Fibonacci) trong cuốn sách Liber Abaci của ông vào năm 1202. Tuy nhiên, dãy số này đã được các nhà toán học Ấn Độ biết đến từ trước đó.

Mặc dù có nhiều đóng góp quan trọng cho toán học, Fibonacci được biết đến nhiều nhất với dãy số mang tên ông – dãy số Fibonacci, và mối liên hệ mật thiết của nó với tỷ lệ vàng, một tỷ lệ xuất hiện rộng rãi trong tự nhiên và nghệ thuật.
Tỷ lệ vàng là gì?
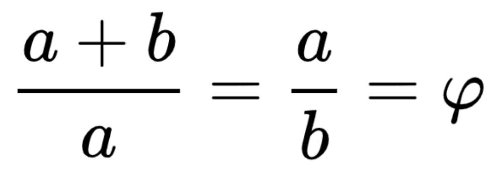
Tỷ lệ vàng, thường được biểu thị bằng ký hiệu φ (phi), là một con số đặc biệt xấp xỉ 1.618. Nó được định nghĩa là tỷ số giữa hai đại lượng, trong đó tỷ số giữa tổng của hai đại lượng đó với đại lượng lớn hơn bằng tỷ lệ giữa đại lượng lớn hơn với đại lượng nhỏ hơn.

Phương trình trên có nghiệm là một số vô tỷ:

Điều thú vị là tỷ lệ vàng có mối liên hệ mật thiết với dãy số Fibonacci. Khi chia một số trong dãy Fibonacci cho số liền trước nó, kết quả sẽ tiến gần đến tỷ lệ vàng khi các số trong dãy càng lớn.
Ví dụ, 89/55 = 1.618, 144/89 = 1.618.
Từ tỷ lệ vàng, ta có thể suy ra các tỷ lệ Fibonacci thường được sử dụng khác như:
- 0.618: Chia một số trong dãy cho số liền sau nó (ví dụ: 8/13).
- 0.382: Chia một số trong dãy cho số đứng sau nó hai vị trí (ví dụ: 34/89).
Tỷ lệ vàng hiện diện khắp nơi trong tự nhiên, từ hình dạng vỏ sò, cách sắp xếp cánh hoa, đến cấu trúc xoắn ốc của thiên hà. Con người cũng đã ứng dụng tỷ lệ vàng vào nghệ thuật, kiến trúc và thiết kế từ hàng ngàn năm nay. Các công trình nổi tiếng như kim tự tháp Ai Cập, đền Parthenon, hay các tác phẩm nghệ thuật của Leonardo da Vinci đều mang dấu ấn của tỷ lệ vàng.
Ngày nay, tỷ lệ vàng vẫn được ứng dụng rộng rãi trong thiết kế logo, giao diện website, và nhiều lĩnh vực khác, bởi nó tạo ra sự cân đối, hài hòa và thu hút thị giác một cách tự nhiên.
Tỷ lệ Fibonacci trong phân tích thị trường Forex
Trong phân tích kỹ thuật Forex, dãy số Fibonacci đóng vai trò quan trọng, đặc biệt thông qua hai công cụ chính: Fibonacci Retracement (thoái lui) và Fibonacci Extension (mở rộng).
Fibonacci Retracement giúp xác định các mức hỗ trợ và kháng cự tiềm năng khi giá điều chỉnh trong một xu hướng. Khi thị trường di chuyển theo một hướng, nó thường sẽ có những nhịp hồi lại trước khi tiếp tục xu hướng chính. Các mức thoái lui Fibonacci phổ biến bao gồm 0.236, 0.382, 0.5, 0.618 và 0.764, cho trader những điểm vào lệnh tiềm năng.

Fibonacci Extension được sử dụng để dự đoán các mục tiêu giá mà xu hướng có thể đạt tới sau khi vượt qua một mức kháng cự hoặc hỗ trợ quan trọng. Các mức mở rộng thường được sử dụng là 0.236, 0.382, 0.5, 0.618, 0.764, 1, 1.618, 2.618, 3.618 và 4.618. Trader có thể dựa vào các mức này để xác định các điểm chốt lời tối ưu.
Hầu hết các nền tảng giao dịch Forex hiện nay đều tích hợp sẵn công cụ Fibonacci Retracement và Fibonacci Extension, giúp trader dễ dàng áp dụng vào biểu đồ giá mà không cần phải tính toán thủ công.

Để tối ưu hóa hiệu quả giao dịch, trader cần xác định chính xác thời điểm vào lệnh và thoát lệnh. Fibonacci có thể hỗ trợ đắc lực trong việc này. Bằng cách kết hợp các mức Fibonacci Retracement và Extension, trader có thể nhận biết các điểm vào lệnh tiềm năng khi giá hồi về vùng hỗ trợ, cũng như các điểm chốt lời hợp lý khi giá đạt đến mục tiêu đã xác định trước đó.
Ngoài ra, Fibonacci Time Zones là một công cụ hữu ích giúp trader dự đoán các khoảng thời gian mà giá có thể biến động mạnh. Dựa trên dãy số Fibonacci, công cụ này xác định các mốc thời gian quan trọng, từ đó cảnh báo trader về những biến động tiềm ẩn, giúp họ chủ động hơn trong việc quản lý giao dịch và đưa ra quyết định kịp thời.

Cần nhớ rằng Fibonacci chỉ là một công cụ hỗ trợ, không đảm bảo 100% thành công. Trader nên kết hợp Fibonacci với các phương pháp phân tích kỹ thuật khác như đường trung bình động, RSI, MACD…
Việc kết hợp này giúp trader có cái nhìn toàn diện hơn về thị trường, từ đó đưa ra quyết định giao dịch chính xác hơn, tăng khả năng sinh lời và giảm thiểu rủi ro. Chiến lược giao dịch cụ thể với Fibonacci sẽ được trình bày chi tiết trong các bài viết tiếp theo.
Hạn chế khi sử dụng Fibonacci trong Forex
Mặc dù Fibonacci là một công cụ phân tích kỹ thuật phổ biến và hữu ích trong Forex, nhưng nó không phải là không có hạn chế. Trader cần nhận thức rõ những điểm yếu này để sử dụng Fibonacci một cách hiệu quả và tránh những sai lầm tiềm ẩn.
Một trong những hạn chế lớn nhất của Fibonacci là tính chủ quan. Việc xác định các điểm đỉnh và đáy để vẽ Fibonacci Retracement và Extension phụ thuộc vào kinh nghiệm và nhận định của mỗi trader. Do đó, các mức Fibonacci có thể khác nhau giữa các trader, gây khó khăn trong việc xác định chính xác các vùng hỗ trợ/kháng cự.

Hơn nữa, việc lựa chọn mức Fibonacci nào để giao dịch (23.6%, 38.2%, 50%, 61.8%, 100%…) cũng mang tính chủ quan và phụ thuộc vào chiến lược của mỗi người.
Thêm vào đó, Fibonacci không phải lúc nào cũng chính xác. Là một công cụ dự đoán, nó không đảm bảo 100% thành công. Giá có thể không phản ứng hoặc phá vỡ các mức Fibonacci, tạo ra các tín hiệu giả. Đặc biệt, trong những giai đoạn thị trường biến động mạnh, các mức Fibonacci có thể bị “bóp méo” và kém hiệu quả.
Một hạn chế khác là Fibonacci thường hiệu quả hơn trong trung và dài hạn. Trong ngắn hạn, sự biến động giá có thể khiến các mức Fibonacci trở nên “chật chội” và khó xác định. Do đó, trader cần lựa chọn khung thời gian phù hợp với chiến lược giao dịch của mình.

Cuối cùng, không nên chỉ dựa vào Fibonacci một cách đơn lẻ. Sử dụng Fibonacci kết hợp với các chỉ báo kỹ thuật khác (như đường trung bình động, RSI, MACD) và phân tích hành động giá là điều cần thiết để có cái nhìn toàn diện về thị trường. Điều này giúp trader đưa ra quyết định giao dịch chính xác hơn, tăng khả năng sinh lời và giảm thiểu rủi ro.
Kết luận
Qua bài viết Fibonacci là gì, ta thấy rằng Fibonacci với vẻ đẹp toán học và sự hiện diện trong tự nhiên, đã chứng minh sức mạnh “thần kỳ” khi dự đoán biến động giá trên thị trường Forex. Kết hợp Fibonacci với các công cụ khác, trader có thể xác định điểm vào/ra lệnh tối ưu, tối đa hóa lợi nhuận. Tuy nhiên, hãy nhớ rằng thành công trong Forex đòi hỏi kiến thức, kỹ năng và kỷ luật. Chúc bạn giao dịch thành công.

